案例1:單個垂直平板自然對流,輻射散熱
正方形平板,邊長0.1m,面積0.01m^2。環境溫度25℃。
分別計算對流和輻射散熱部分:
對流散熱量:

根據公式(http://m.aji87.cn/info/864.html)
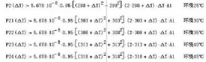
輻射散熱量:
![]()
根據公式(http://m.aji87.cn/info/859.html)
上述2個公式都是溫差ΔT的函數,其曲線如下圖:

從上圖看出,在各種溫差(表面與環境)時,輻射和對流散熱量幾乎各占一半,輻射散熱還比對流散熱多出約0.4W。
環境溫度越高,輻射散熱所占的比例越大。因為根據上述公式,對流散熱量只與溫差有關,與環境溫度無關。
在flotherm里計算不同功耗時的溫差,來判斷上述2公式的準確性。計算結果如下:

紅色部分的誤差:仿真計算誤差。
不同環境溫度下的對流散熱和輻射散熱比較:


由上圖可見,環境溫度越高,輻射散熱所占比例越大。
溫差為36℃時,不同環境溫度下的輻射散熱所占比例如下:
![]()
案例2:常見垂直放置的肋片散熱器

長寬0.1m,高度為17mm
不同發熱功耗下,對流與輻射散熱分別所占比例。

不同環境溫度下,對流與輻射量分別所占比例:


案例3:常見水平放置的肋片散熱器

長寬0.1m,高度為17mm
不同發熱功耗下,對流與輻射散熱分別所占比例。

不同環境溫度下,對流與輻射量分別所占比例:


這張圖看起來有點怪。
結論:
- 一般自然對流散熱設計里面,輻射散熱是不能忽視的。
- 簡單形狀的散熱器隨著環溫的升高,輻射散熱所占的比例是上升的,一般從35%-50%。
標簽: 點擊: 評論: