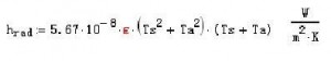
根據斯蒂芬波爾茲曼公式,定義一個熱輻射傳熱系數(類似于對流傳熱系數):

假設輻射率=0.8 ,Ts比Ta高1℃。則輻射傳熱系數與環境溫度的關系如下:

典型的環境溫度為50℃時,輻射系數為6 W/m2-K 。
針對機箱內一個水平放置PCB來講,其自然對流傳熱方程如下:
(此公式從何而來?)
假設環境溫度已知,為50℃(323K),PCB輻射率為0.95.
那么自然對流和輻射傳熱的系數分別計算如下:


從圖中可以看出,在溫差<20℃(K)時,輻射傳熱系數大于自然對流系數。溫差超過20℃時,兩種傳熱系數幾乎相等。所以在溫差較小時,輻射傳熱一定不能被忽略。
當然,實際情況千差萬別,但這個簡單的例子可以幫助建立一些基本的概念。
參考資料:
1. http://www.electronics-cooling.com/2001/02/dont-underestimate-radiation-in-electronic-cooling/
標簽: 點擊: 評論:
版權聲明:除非特別標注,否則均為本站原創文章,轉載時請以鏈接形式注明文章出處。