泡沫銅的應用 相變載體
coolingme 1668
flotherm 網格劃分技術
coolingme 1972
數據中心沉浸式制冷
coolingme 997
蘋果的專利:離子風散熱
coolingme 1094
功率電感和變壓器的仿真模型建立
coolingme 1548
熱反射成像技術
coolingme 1373
Flotherm 熱仿真的精度探討
coolingme 4629
如何計算LED芯片的發熱量
coolingme 2108
高導熱的石墨材料 松下PGS
coolingme 966
PCB 過孔對散熱的影響
coolingme 1810
比特幣挖礦工廠的散熱系統 浸泡式制冷
coolingme 1949
自適應人體溫度調節設備
coolingme 856
半導體制冷片應用指導
coolingme 2686
cooler master 推出新散熱產品
coolingme 1487
輻射散熱中view factor的影響
coolingme 1111
自然散熱情況下輻射和對流哪個占主導作用-續
coolingme 3575
如何計算管內流體壓降
coolingme 1488
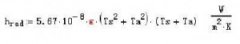
自然散熱情況下輻射和對流哪個占主導作用
coolingme 2280
雷諾數的計算
coolingme 1628
PCB中的導熱計算
coolingme 2355
自然對流平板散熱經驗公式驗證
coolingme 2801
FLotherm 模型中工功耗設置方法
coolingme 1735
Flotherm FAN 模型設置
coolingme 2231
flotherm 打孔板參數設置
coolingme 1438
[視頻]國外高大上自動化鋁型材生產工藝
coolingme 724
