軟件自帶的PCB模型設置有3種類型:

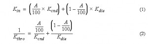
1銅箔體積比例的設置
設置后的平面內和Z 向的導熱系數分別如下計算:

其中A 是軟件中設置的數值。
2 質量的設置
注意這里設置的不是只有銅箔的質量,而是total PCB的質量。
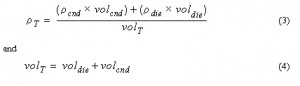
PCB 的密度和體積分別計算如下:

3 層數自定義設置


設置后XY 向和Z向的導熱系數計算如下:

4 其實還有一種方法,就是自定義各向異性的材料。
如果以一個單層板覆蓋100%的銅箔為例:
![]()
銅箔厚度0.035mm 。FR4厚度1.565mm 。總厚度1.6mm。
尺寸:100*100mm
以上三種設置方法分別如下:

下面就來較4種不同的設置方法對結果有什么影響:
邊界條件:
強制對流(與PCB 平行方向2m/s風速)
熱源大小:30*30mm
熱源功耗:10W
熱源與PCB 之間的熱阻為0℃/W。
Radiation :OFF
計算結果比較:

用質量設置方法的溫度比其他稍低,其他3種溫度幾乎一樣。
在強制對流求解時,用自帶PCB 快速設置是一個比較好的辦法。
標簽: 點擊: 評論:
版權聲明:除非特別標注,否則均為本站原創文章,轉載時請以鏈接形式注明文章出處。